Procureur Général Cour d'appel de Paris --- Justice --- --- Justice --- albared.html albarede.pdf apap.html apap.pdf refere.html refere.pdf boulmier Chevrier Huber Guigou Elisabeth jorda.html jugem83.html jugem85.htm appel_85.htm jugem87.html juge_989.htm notes.htm jugem90.html jugem190.htm jugem190.pdf obrego lettres ouv. lettre d'Aurore mehaign.html mehaign.pdf nanterre nanterre.pdf obrego.html parquet perben perben.pdf requete96.pdf requete98 requete98.pdf philippe philippe.pdf douchet.pdf toubon toubon.pdf truche truche.pdf c.e.d.h. plaintes.pdf cassation graces justice89 justice95 rejet1-2 delinquance judiciaire
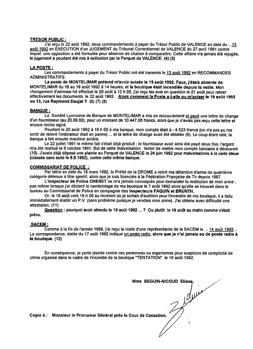
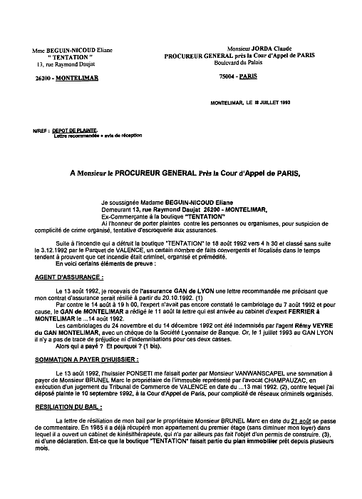
18 juillet 1993 : Je dépose plainte auprès de Claude Jorda Procureur Général près la Cour d'appel de Paris contre les personnes ou organismes cités plus bas, pour suspicion de complicité de crime organisé, tentative d'escroquerie aux assurances.
Voir traduction anglais par Google ici