| Montélimar Drôme en France |
![]() |
Nanterre/Puteaux H. de S. en France |
| ANNEE 2006 |
| Année 2006 - RETRAITES - Les régimes spéciaux ??? caisse Cram Rhône-Alpes | ||
| | Cram Rhône-Alpes 21-11-2006 | 04-12-06 Fax + lettre AR. | 19-12-06 Fax n°5 | | ||
| Organic
| La Poste
| Cram Fichier en .pdf
|
|
Retour :
|

|
+ Télécopie à la caisse Cram Rhône-Alpes |
| Lettre recommandée avec AR. + Télécopie à la caisse Cram Rhône-Alpes - 21 novembre 2006 | |
|
Eliane NICOUD
13, rue du Meunier Clos du Moulin 34350 VENDRES |
|
|
TÉLÉCOPIE |
|
|
Destinataire : Cram Rhône-Alpes
|
Expéditeur : Eliane NICOUD
|
|
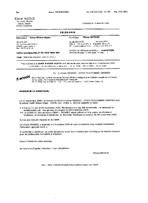
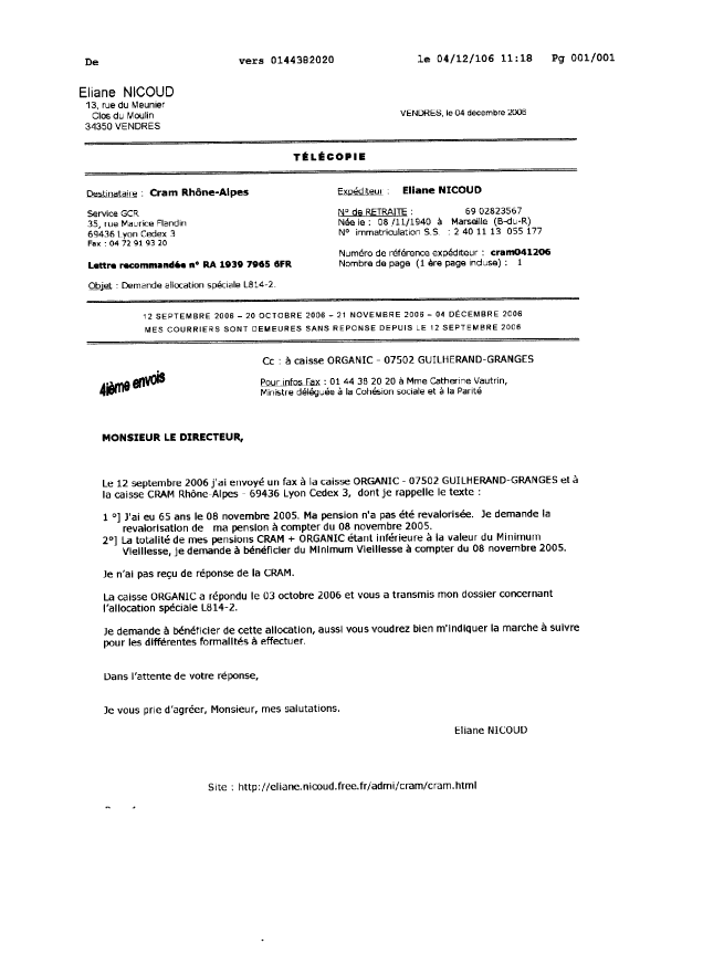
Lettre recommandée n° RA 1939 7965 6FR
|
Numéro de référence expéditeur : cram211106
|
|
URGENT POUR AVIS COMMENTAIRES X RÉPONSE CONFIDENTIEL
|
|
|
Mes courriers sont demeurés sans réponse depuis le 12 septembre 2006 3 ENVOIS
|
|
| MONSIEUR LE DIRECTEUR, | |
|
Le 12 septembre 2006 j'ai envoyé un fax à la caisse ORGANIC - 07502 GUILHERAND-GRANGES
dont je rappelle le texte : 1 °] J'ai eu 65 ans le 08 novembre 2005. Ma pension n'a pas été revalorisée. Je demande la revalorisation de ma pension à compter du 08 novembre 2005. 2°] La totalité de mes pensions CRAM + ORGANIC étant inférieure à la valeur du Minimum Vieillesse, je demande à bénéficier du Minimum Vieillesse à compter du 08 novembre 2005. Je n'ai pas reçu de réponse de la CRAM. La caisse ORGANIC a répondu le 03 octobre 2006 et vous a transmis mon dossier concernant l'allocation spéciale L814-2. Je demande à bénéficier de cette allocation, aussi vous voudrez bien m'indiquer la marche à suivre pour les différentes formalités à effectuer. Dans l'attente de votre réponse, Je vous prie d'agréer, Monsieur, mes salutations. Eliane NICOUD Page 1 |
|
|
|